Installation and useThe overall installation of solar pumps consists mainly of solar panels, control boxes and pumps. Sunny surface pumps are used to increase water pressure. ZEN Machinery high quality 3/4 "SQGD DC screw pump allows you to deliver water to a higher and wide range. In the solar regions of the world, especially in remote areas where there is no electricity, the use of solar energy is the most attractive method of water supply. In addition to water pumps and renewable energy, solar pumps also include all the necessary control, communications and auxiliary devices, communication and auxiliary devices, communications and auxiliary devices. The system provided as a full -fledged system can be combined and adapted to any needs in accordance with the conditions of the installation and a wide range of performance.




ZEN Machinery high quality 3/4 "SQGD DC screw pump is a low -pressure battery power source. It is safe and easy to operate. This is a very convenient water intake tool.
It is widely used in agriculture for irrigation, supplying drinking and household water.
| Model |
Voltage (V) |
Best DC voltage (V) |
Power (W) |
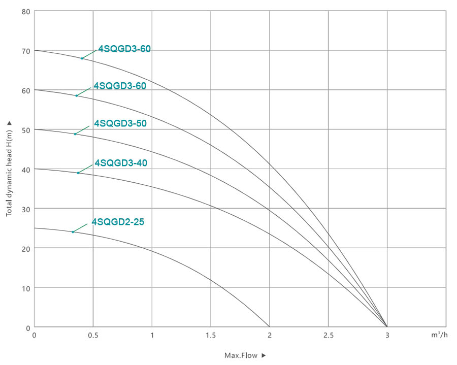
Max. Flow (m³/h) |
Max. Effort (m) |
Exit (inch) |
Cigilious (m) |
Solar panel | |
| Open stress | Power | ||||||||
| 3sqgd5-35-400 | 48/60 | 48/60 | 400 | 5 | 35 | 1" | 2 | <65V | ≥600W |
| 3sqgd5-42-600 | 48/60 | 48/60 | 600 | 5 | 42 | 1" | 2 | <65V | ≥900W |
| 3sqgd1.5-70-300 | 24 | 24 | 300 | 1.5 | 70 | 1" | 2 | <30V | ≥450W |
| 3sqgd1.5-70-300 | 28 | 28 | 300 | 1.5 | 70 | 1" | 2 | <30V | ≥450W |
| 4SQGD2-25-12-200 | 12 | 12 | 200 | 2 | 25 | 1" | 2 | <15V | ≥280W |
| 4sqgd3-50-24-400 | 24 | 24 | 400 | 3 | 50 | 1" | 2 | <30V | ≥560W |
| 4Sqgd3-40-36-300 | 36 | 36 | 300 | 3 | 40 | 1" | 2 | <42V | ≥420W |
| 4sqgd3-60-48-400 | 48 | 48 | 400 | 3 | 60 | 1" | 2 | <55V | ≥560W |
| 4Sqgd3-70-72-600 | 72 | 72 | 600 | 3 | 70 | 1" | 2 | <85V | ≥850W |




|
Model: Type of AC DC Adaptive power: 750 - 2200 watts Model: Type Adaptive power: ≤2200W
1. Protection against low voltage and overvoltage. 2. Protection against overload and overvoltage. 3. Protection against dry pumps. 4. High -temperature protection. 5. Lack of phase protection. 6. Three sets of water level switches. 7. LCD - monitors. |
![]() |
Model: Type D Adaptive power: ≤1100W
1. Protection against low voltage and overvoltage. 2. Protection against overload and overvoltage. 3. Protection against dry pumps. 4. High -temperature protection. 5. Lack of phase protection. 6. Three sets of water level switches. 7. LCD - Monitors |
![]() |
Model: Type B Adaptive power: ≤1500W
1. Protection against low voltage and overvoltage. 2. Protection against overload and overvoltage. 3. Protection against dry pumps. 4. High -temperature protection. 5. Lack of phase protection. 6. Three sets of water level switches. 7. LCD - monitors. |
![]() |
Model: type E Adaptive power: ≤1100W
1. Protection against low voltage and overvoltage. 2. Protection against overload and overvoltage. 3. Protection against dry pumps. 4. High -temperature protection. 5. Lack of phase protection. 6. Three sets of water level switches. |
|
Model: Type C. Adaptive power: ≤2200W
1. Protection against low voltage and overvoltage. 2. Protection against overload and overvoltage. 3. Protection against dry pumps. 4. High -temperature protection. 5. Lack of phase protection. 6. Three sets of water level switches. 7. LCD - monitors. |
|
Model: type f Adaptive power: ≤1100W
1. Protection against low voltage and overvoltage. 2. Protection against overload and overvoltage. 3. Protection against dry pumps. 4. High -temperature protection. 5. Lack of phase protection. |