In stock 2/3QGD Submersible Pump for Deep Wells is ready for immediate delivery, providing quick and convenient access to high quality pumping solutions. Identifier* 2 kg*2: Borehole diameter: 52mm (2")* QG: Pump name*D: Single-phase motor (three-phase without D)* 1: Capacity (m³/h)* 60: water pressure (m)* 0.25: Motor power (KW)
1. To supply water from wells or reservoirs.
2. For household, civil and industrial use.
3. For garden use and irrigation.
1. The maximum liquid temperature can reach + 35°C.
2 Maximum sand content: 0.25%.
3 Maximum diving depth: 100m.
4.Minimum well diameter: 2".
1. Equipped with launch control box or digital automatic control box
2. NEMA Size Standards
3. Pump design based on casing stress
4. Electric motor with multiple winding or fully enclosed screen
5. Single phase: 220V - 240V / 50Hz
6. Three-phase: 380V - 415V / 50Hz
1. Special mechanical seal
2. Other voltages or frequencies 60Hz
| Parachutist scale | |||||
| Model | A | B | C | D | E |
| 2QGD1-60-0.25 | 688 | 520 | 168 | 0.5" | f50 |
| 3QGD1.5-60-0.25 | 540 | 365 | 195 | 1" | f73 |
| 3QGD1.7-80-0.37 | 580 | 385 | 195 | 1" | f73 |
| 3QGD1.7-105-0.55 | 610 | 415 | 195 | 1" | f73 |
| 3QGD2-115-0.75 | 652 | 445 | 207 | 1" | f73 |
| Model | P2 |
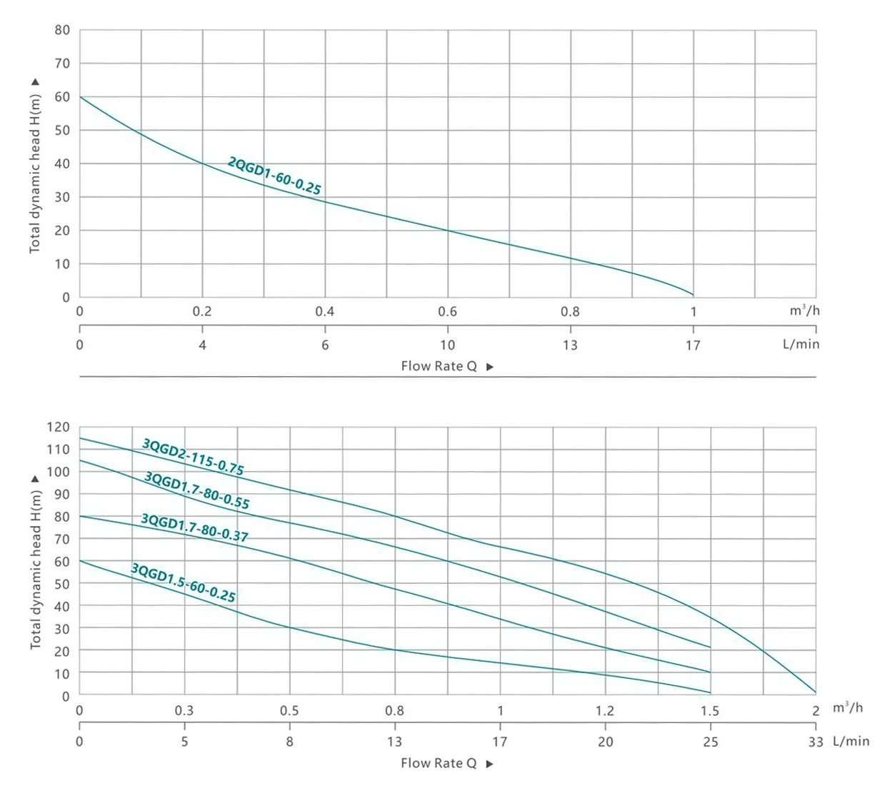
Q L/min m³/h |
0 | 4 | 6 | 10 | 13 | 17 | |||||||
| 1~220v/240v | KW | HP | |||||||||||||
| 0 | 0.2 | 0.4 | 0.6 | 0.8 | 1 | ||||||||||
| 2QGD1-60-0.25 | 0.25 | 0.33 | H(m) | 60 | 40 | 29 | 20 | 12 | 1 | ||||||
| Model | P2 |
Q L/min m³/h |
0 | 5 | 8 | 13 | 17 | 20 | 25 | 33 | |||||
| 1~220v/240v | KW | HP | |||||||||||||
| 0 | 0.3 | 0.5 | 0.8 | 1 | 1.2 | 1.5 | 2 | ||||||||
| 3QGD1.5-60-0.25 | 0.25 | 0.33 | H(m) | 60 | 45 | 30 | 20 | 12 | 9 | 1 | |||||
| 3QGD1.7-80-0.37 | 0.37 | 0.5 | 80 | 72 | 61 | 47 | 34 | 21 | 10 | ||||||
| 3QGD1.7-105-0.55 | 0.55 | 0.75 | 105 | 90 | 78 | 64 | 52 | 38 | 21 | ||||||
| 3QGD2-115-0.75 | 0.75 | 1.0 | 115 | 103 | 92 | 80 | 67 | 53 | 36 | 1 | |||||
| Numbers | Name |
| 1 | Clamping spring |
| 2 | End cap |
| 3 | expansion sleeve |
| 4 | Capacity |
| 5 | Bearing |
| 6 | Relationship |
| 7 | motor rotor |
| 8 | Mechanical seal |
| 9 | electric motor stator |
| 10 | Electrical wire |
| 11 | Screw |
| 12 | Washing machine |
| 13 | "O" shaped sealing ring |
| 14 | Fuel chamber |
| 15 | "O" shaped sealing ring |
| 16 | Screw |
| 17 | Double head bolt |
| 18 | Washing machine |
| 19 | Walnuts |
| 20 | Fastening ring |
| 21 | Washing machine |
| 22 | Sand cap |
| 23 | Cable shielding bushing |
| 24 | Screw |
| 25 | Wing |
| 26 | Pump housing |
| 27 | Cardannaya mufta |
| 28 | Screw |
| 29 | Cover |
| 30 | Rubber stator |
| 31 | Ring |
| 32 | Output room |
| 33 | Latch |
1. Power switches
2. Cassettes automatic control
3. Pipeline
4. Valve
5. Gasket
6. Static level
7. Upper pole
8. Cable
9. Well
10. Stirring level
11. Middle rod
12. Pump housing
13. Lower pole
14. Underwater electric motors
| size | Voltage(v) | Power(kw) | Cable cross section(mm²) | 0.7mm² | 1mm² | 1.5mm² | 2mm² | 2.5mm² | 3mm² | 4mm² | 6mm² | 10mm² | 16mm² | 25mm² | 35mm² | 50mm² |
| 4" | 220 | 0.37 | Cable length(m) | 50 | 80 | 100 | ||||||||||
| 0.55 | 35 | 55 | 80 | 105 | 130 | |||||||||||
| 0.75 | 20 | 35 | 55 | 75 | 90 | 110 | 150 | |||||||||
| 0.95 | 32 | 52 | 70 | 85 | 105 | 140 | ||||||||||
| 1.1 | 30 | 48 | 60 | 79 | 100 | 127 | 190 | |||||||||
| 1.5 | 25 | 34 | 50 | 57 | 80 | 92 | 137 | 228 | ||||||||
| 1.8 | 23 | 32 | 48 | 55 | 78 | 90 | 135 | 226 | ||||||||
| 2.2 | 22 | 30 | 43 | 50 | 68 | 102 | 170 | 230 | ||||||||
| 3.0 | 25 | 30 | 45 | 60 | 80 | 120 | 200 | 330 | ||||||||
| 3.5 | 25 | 30 | 45 | 60 | 100 | 180 | 290 | |||||||||
| 4.0 | 25 | 35 | 55 | 90 | 150 | 220 | 300 |
| size | Voltage(v) | Power(kw) | Cable cross section(mm²) | 0.7mm² | 1mm² | 1.5mm² | 2mm² | 2.5mm² | 3mm² | 4mm² | 6mm² | 10mm² | 16mm² | 25mm² | 35mm² | 50mm² |
| 4" | 380 | 0.37 | Cable length(m) | 200 | 315 | |||||||||||
| 0.55 | 100 | 210 | 320 | |||||||||||||
| 0.75 | 80 | 165 | 280 | |||||||||||||
| 1.1 | 120 | 180 | 250 | 308 | ||||||||||||
| 1.5 | 90 | 150 | 200 | 250 | 300 | 400 | ||||||||||
| 2.2 | 65 | 114 | 150 | 191 | 250 | 305 | 457 | |||||||||
| 6" | 3.0 | 77 | 100 | 128 | 170 | 205 | 307 | 390 | ||||||||
| 4.0 | 61 | 80 | 102 | 120 | 153 | 244 | 406 | |||||||||
| 5.5 | 47 | 60 | 70 | 90 | 110 | 165 | 312 | |||||||||
| 7.5 | 65 | 80 | 130 | 200 | 320 | |||||||||||
| 9.2 | 72 | 108 | 178 | 282 | 432 | |||||||||||
| 11 | 63 | 94 | 155 | 246 | 370 | |||||||||||
| 13 | 78 | 129 | 205 | 314 | ||||||||||||
| 15 | 69 | 114 | 180 | 277 | ||||||||||||
| 18.5 | 55 | 91 | 145 | 222 | 305 | |||||||||||
| 22 | 49 | 81 | 128 | 196 | 290 | |||||||||||
| 25 | 68 | 107 | 165 | 226 | 314 | |||||||||||
| 30 | 60 | 95 | 145 | 200 | 275 | |||||||||||
| 37 | 52 | 82 | 125 | 170 | 234 | |||||||||||
| 45.0 | 45 | 71 | 108 | 147 | 203 |